আজকে আমাদের আলোচনার বিষয় পরিবর্তনশীল রাশি এবং কার্যকরী মান অনুশীলনী ৬
Table of Contents
পরিবর্তনশীল রাশি এবং কার্যকরী মান অনুশীলনী ৬
অতি সংক্ষিপ্ত প্রশ্নোত্তর :
১। অল্টারনেটিং ডোস্টেজ বা কারেন্টের তাৎক্ষণিক মান বলতে কী বুঝায় ?
উত্তর :- অল্টারনেটিং ভোল্টেজ বা কারেন্ট একটি পরিবর্তনশীল রাশি এবং উক্ত পরিবর্তনশীল রাশির যে-কোনো মুহূর্তের মানকে তাৎক্ষণিক মান বা ইনস্ট্যান্টেনিয়াস ভ্যালু বলে ।
২। অল্টারনেটিং ভোল্টেজ বা কারেন্টের সর্বোচ্চ মান বলতে কী বুঝায় ?
উত্তর :- অল্টারনেটিং ভোল্টেজ বা কারেন্ট একটি পরিবর্তনশীল রাশি এবং উক্ত পরিবর্তনশীল রাশি 0 হতে প্রতি মুহূর্তে বৃদ্ধি পেতে থাকে এবং 90° তে এ সর্বোচ্চ মানে পৌঁছে। এ মানকে সর্বোচ্চ মান বা ম্যাক্সিমাম বা পিক ভ্যালু বলে ।
৩। ভোল্টেজের গড় মানের সাথে ভোল্টেজের সর্বোচ্চ মানের সম্পর্ক কী ?
উত্তর :- Eave = 0.636 max
৪। কারেন্টের কার্যকরী মানের সাথে কারেন্টের সর্বোচ্চ মানের সম্পর্ক কী ?
উত্তর :- Terr = 0.707 I max.
৫। পিক বা ক্রেস্ট ফ্যাক্টর কাকে বলে? এর মান কত ?
উত্তর :- একটি তরঙ্গের সর্বোচ্চ মান এবং কার্যকরী মানের অনুপাতকে পিক বা ক্রেস্ট ফ্যাক্টর বলে । এর মান 1.414
৬। অল্টারনেটিং ভোল্টেজ বা কারেন্টের গড় মান বলতে কী বুঝায় ?
উত্তর :- অল্টারনেটিং ভোল্টেজ বা কারেন্টের একটি সাইকেলের অর্ধাংশ বা এক অল্টারনেশন-ব্যাপী বিভিন্ন ক্ষণের তাৎক্ষণিক মানসমূহের গড়কে গড় মান বা অ্যাভারেজ ভ্যালু বলে।
৭। ফরম ফ্যাক্টর কাকে বলে ?
উত্তর :- একটি তরঙ্গের কার্যকরী মান এবং গড় মানের অনুপাতকে ফরম ফ্যাক্টর বলে।
৮। স্কিন ইফেক্ট বলতে কী বুঝায় ?
উত্তর :- অল্টারনেটিং কারেন্টের একটি প্রবণতা এই যে, এটি পরিবাহীর সমস্ত প্রস্থচ্ছেদ জুড়ে প্রবাহিত হওয়ার চেয়ে পরিবাহীর উপরিভাগ দিয়ে প্রবাহিত হয় এবং এসির এ প্রবণতাকেই স্কিন ইফেক্ট বলে। কারণ এসিতে তামার প্রয়োজনীয় পরিবহন ক্ষেত্রফল কমে যাওয়ার দরুন রেজিস্ট্যান্স বেড়ে যায়।
৯। বাসাবাড়িতে ব্যবহৃত এসি ভোল্টেজের সর্বোচ্চ মান 230 ভোল্ট হলে আর.এম.এস মান কত হবে ?
উত্তর :- আমরা জানি,
Eave=0.707Emax
= 0.707 x 230
=162.61 Volt.
১০। ওহমিক রেজিস্ট্যান্স বলতে কী বুঝায়?
উত্তর :- একটি রেজিস্ট্যান্স কর্তৃক ডাইরেক্ট কারেন্টের প্রদত্ত বাধাকেই ওহমিক রেজিস্ট্যান্স বলে।
১১ । এসির কার্যকরী মানের সংজ্ঞা দাও ।
উত্তর :- কোনো রেজিস্টরের মধ্য দিয়ে নির্দিষ্ট সময় ধরে ডিসি কারেন্ট প্রবাহে যে পরিমাণ তাপের সৃষ্টি হয়, যদি ঐ একই সময়ে একই রেজিস্টরের মধ্য দিয়ে যে পরিমাণ এসি কারেন্ট প্রবাহে ঐ একই পরিমাণ তাপের সৃষ্টি হয়, তাহলে উক্ত কারেন্টকে এসি কারেন্টের কার্যকরী (Effective) বা RMS (Root Mean Square value) মান বলে ।
১২। কার্যকরী বা ইফেক্টিভ রেজিস্ট্যান্স বলতে কী বুঝায়?
উত্তর :- একটি সার্কিট কর্তৃক অল্টারনেটিং কারেন্টকে প্রদত্ত বাধা (যথা— ওমিক রেজিস্ট্যান্স, স্কিন ইফেক্ট, এড়ি-কারেন্ট লস্, হিসটেরেসিস্ লস, ডাই ইলেকট্রিক লস-জনিত সম্মিলিত বাধা)-কে কার্যকরী বা ইফেক্টিভ রেজিস্ট্যান্স বলে।
১৩। । তাৎক্ষণিক মান ও সর্বোচ্চ মান কী?
উত্তর :- তাৎক্ষণিক মান ঃ একটি পরিবর্তনশীল রাশির (Alternating quantity) যে-কোনো মুহূর্তের মানকে তাৎক্ষণিক মান বলে।
অল্টারনেটিং ভোল্টেজ এবং কারেন্টের তাৎক্ষণিক মানের প্রতীক যথাক্রমে e এবং i ।
যখন কোনো পরিবর্তনশীল রাশির তাৎক্ষণিক মান সর্বাধিক হয়, তখন এ মানকে উক্ত পরিবর্তনশীল রাশির সর্বোচ্চ মান বলা হয় ।
অল্টারনেটিং ভোল্টেজ এবং কারেন্টের সর্বোচ্চ মান যথাক্রমে Eme এবং Inux দ্বারা চিহ্নিত করা হয়।
১৪। ডিসি অ্যাম্পিয়ার কাকে বলে ?
উত্তর :- সিলভার নাইট্রেট এবং পানি মিশ্রিত দ্রবণে যে পরিমাণ ডাইরেক্ট কারেন্ট প্রবাহিত করানো হলে যদি প্রতি
সেকেন্ডে 0.001118 গ্রাম সিলভার তলানি হিসেবে জমা হয়, তবে সেই পরিমাণ কারেন্টকে ডিসি এক অ্যাম্পিয়ার বলে।
১৬। এসি অ্যাম্পিয়ার কাকে বলে ?
উত্তর :- কোনো রেজিস্ট্যান্সের মধ্য দিয়ে এক অ্যাম্পিয়ার ডাইরেক্ট কারেন্ট প্রবাহিত করানো হলে যে পরিমাণ তাপের সৃষ্টি হয়, উক্ত রেজিস্ট্যান্সের মধ্য দিয়ে যে পরিমাণ অল্টারনেটিং কারেন্ট পাঠালে একই সময়ে একই পরিমাণ তাপের সৃষ্টি হয়, সেই পরিমাণ অল্টারনেটিং কারেন্টকে এসি এক অ্যাম্পিয়ার বলে।
১৭। কারেন্টের কার্যকরী মানের সাথে গড় মানের সম্পর্ক কী ?
উত্তর :- Lave=0.6361max
সংক্ষিপ্ত প্রশ্নোত্তর :
১। গড় মান ও সর্বোচ্চ মানের মধ্যে সম্পর্ক নির্ণয় কর।
উত্তর :- একটি সাইকেলের অর্ধাংশ বা এক অল্টারনেশন-ব্যাপী বিভিন্ন ক্ষণে অল্টারনেটিং ভোল্টেজ এবং কারেন্টের তাৎক্ষণিক মানসমূহের গড়কে গড় মান বলে ।
গাণিতিকভাবে,

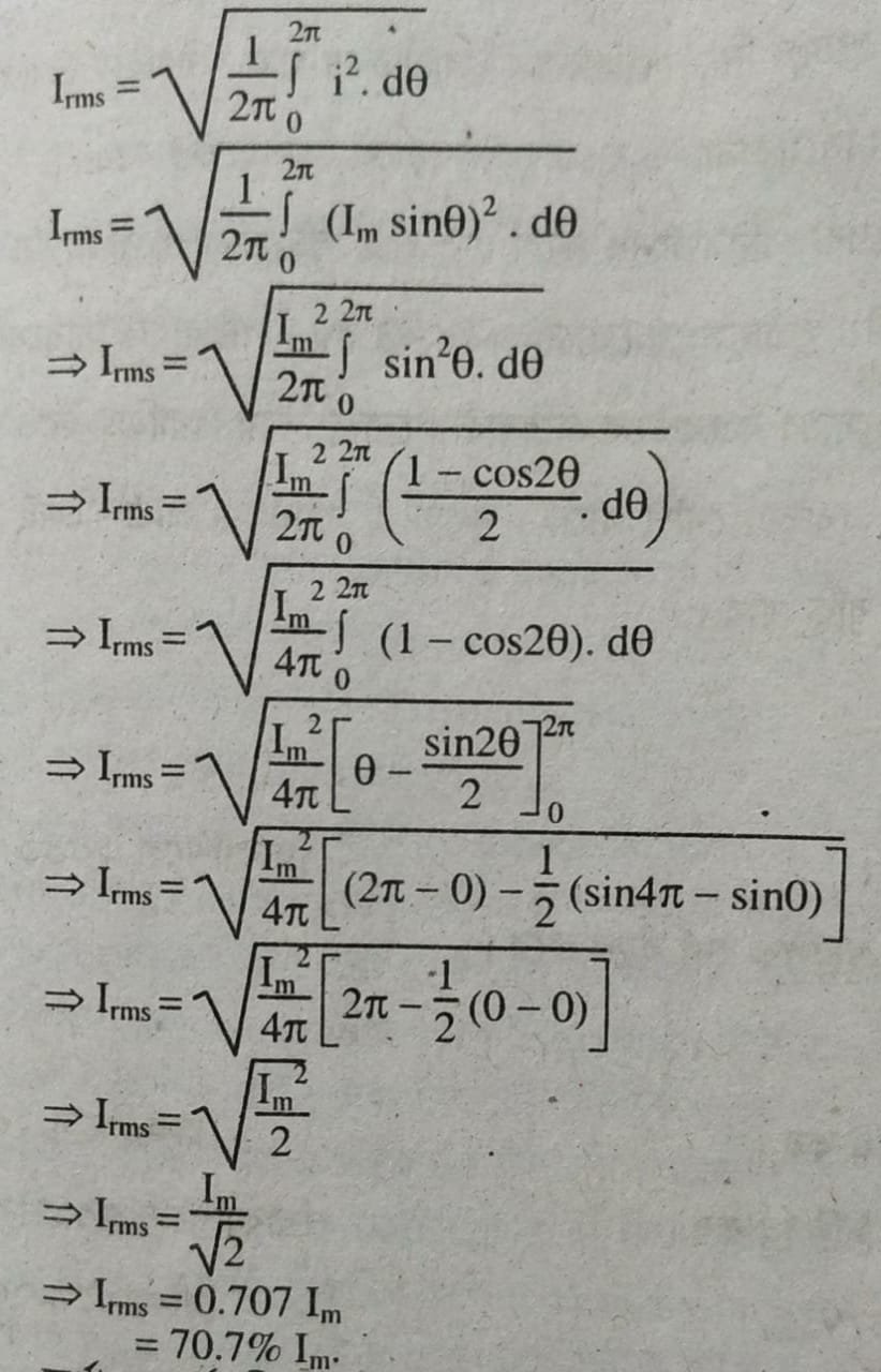
২। প্রমাণ কর যে, Iear = 0.7071; শব্দগুলো প্রচলিত অর্থ বহন করে।
উত্তর :- ধরা যাক, এসি সাইনোসয়ডাল কারেন্ট,
i = Im sine ……… (vi)
এখানে, i = কারেন্টের তাৎক্ষণিক মান
Im = কারেন্টের সর্বোচ্চ মান
Ø = কারেন্টের পরিবর্তনশীল কোণ ।
কার্যকরী মানের সংজ্ঞা থেকে পাওয়া যায়—

৩। ওহমিক এবং ইফেক্টিভ রেজিস্ট্যান্সের মধ্যে তুলনামূলক পার্থক্য লেখ।
উত্তর :- ওহমিক ও ইফেক্টিভ রেজিস্ট্যান্সের মধ্যে পার্থক্যগুলো নিম্নরূপ—
ওহমিক রেজিস্ট্যাম
(ক) কন্ডাক্টরের প্রকৃত রেজিট্যান্স, যা ডাইরেক্ট কারেন্ট (ডিসি)-কে বাধা দেয়।
(খ) এ রেজিস্ট্যান্সের কারণে কন্ডাক্টরের সমগ্র প্রস্থচ্ছেদ জুড়ে ডিসি প্রবাহিত হয়।
(গ) এর মান পদার্থের প্রকৃতির উপর নির্ভর করে।
(ঘ) এর উপর স্কিন ইফেক্ট, এডি কারেন্ট, হিসটেরেসিস, ডাই-ইলেকট্রিক, ইত্যাদি লস-জনিত কোন ফ্যাক্টর প্রভাব ফেলে না ।
ইফেক্টিভ রেজিস্ট্যান্স
(ক) কন্ডাক্টরের মোট রেজিস্ট্যান্স, যা ‘অল্টারনেটিং-কারেন্ট (এসি)-কে বাধা দেয় ।
(খ) এ রেজিস্ট্যান্সের কারণে কন্ডাক্টরের সমগ্র প্রস্থচ্ছেদ জুড়ে এসি প্রবাহিত হওয়ার পরিবর্তে উপরিভাগ দিয়ে প্রবাহিত হয়, ফলে প্রস্থচ্ছেদ হ্রাস পায় ।
(গ) এর মান শুধু পদার্থের প্রকৃতির উপরই নির্ভর করে না, বরং অন্যান্য ফ্যাক্টর বা উপাত্ত (যেমন— ফ্রিকুয়েন্সি)-এর উপরও নির্ভর করে ।
(ঘ) এর উপর স্কিন ইফেক্ট, এডি কারেন্ট, হিসটেরেসিস, ডাই- ইলেকট্রিক ইত্যাদি লস-জনিত প্রভাব পড়ে বলেই এর প্রকৃত রেজিস্ট্যান্স বৃদ্ধি পায় ।
৪। স্কিন ইফেক্ট কাকে বলে? এটির সম্পর্কে আলোচনা কর।
উত্তর :- “ফ্রিকুয়েন্সিজনিত কারণে এসি কারেন্ট পরিবাহীর সমগ্র প্রস্থচ্ছেদ দিয়ে সমানভাবে প্রবাহিত না হয়ে পরিবাহীর উপরিভাগ (Surface) দিয়ে প্রবাহিত হয়। এসি কারেন্টের পরিবাহীর এই সারফেস দিয়ে প্রবাহিত হওয়ার প্রবণতাকে স্কিন ইফেক্ট বলে ।
” আসলে পরিবাহী দিয়ে যখন এসি কারেন্ট প্রবাহিত হয় তখন কারেন্ট পরিবর্তনের ফলে এর দ্বারা সৃষ্ট ফ্লাক্সও পরিবর্তন যা পরিবাহীকে কর্তন করে এবং পরিবাহিত ফ্যারাডের তড়িৎ চুম্বকীয় সূত্রানুসারে ভোল্টেজ উৎপন্ন হয়।
পরিবাহীর সারফেসের চেয়ে কেন্দ্রে বেশি পরিমাণ ভোল্টেজ উৎপন্ন হয়, যা লেঞ্জের সূত্রানুসারে কারেন্টকে পরিবাহীর কেন্দ্র দিয়ে প্রবাহিত হতে বাধা দেয়। ফলে কারেন্ট পরিবাহীর সারফেস দিয়ে প্রবাহিত হওয়ার প্রবণতা বেশি থাকে। মূলত এ সামগ্রিক প্রক্রিয়াকেই স্কিন ইফেক্ট বলে । ফ্রিকুয়েন্সি যত বেশি হয় স্কিন ইফেক্টের মাত্রাও তত বৃদ্ধি পায়।
